Phòng Quản lý Khoa học và Đối ngoại
Department of Research Administration
VIE
VIE
ENG
Giới thiệu
Giới thiệu chung
Chức năng - nhiệm vụ
Cơ cấu tổ chức
Tin tức
Tin hoạt động
Thông báo
Hội thảo khoa học
Quản lý khoa học
Đề tài cấp nhà nước
Đề tài cấp Bộ
Đề tài, dự án cấp trường
Nghiên cứu khoa học sinh viên
Sách, giáo trình
Văn bản quản lý
Thư viện videos - ảnh
Videos
Ảnh
Giới thiệu
Giới thiệu chung
Chức năng - nhiệm vụ
Cơ cấu tổ chức
Tin tức
Tin hoạt động
Thông báo
Hội thảo khoa học
Quản lý khoa học
Đề tài cấp nhà nước
Đề tài cấp Bộ
Đề tài, dự án cấp trường
Nghiên cứu khoa học sinh viên
Sách, giáo trình
Văn bản quản lý
Thư viện videos - ảnh
Videos
Ảnh
Đào tạo & QLSV
Quay trở lại danh sách
Đào tạo & QLSV
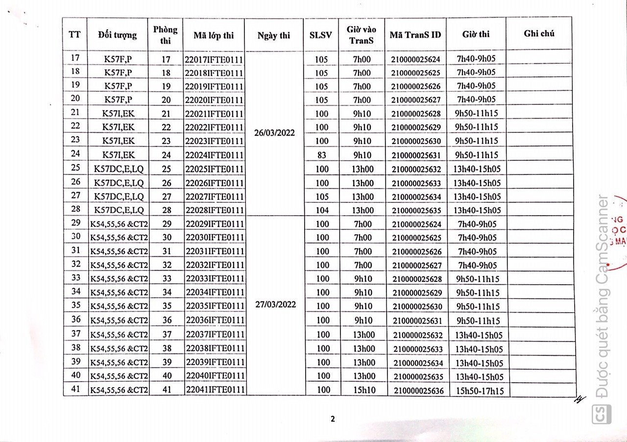
LỊCH THI TRỰC TUYẾN ĐÁNH GIÁ CHUẨN KỸ NĂNG SỬ DỤNG CNTT ĐỢT 1 THÁNG 03 NĂM 2022
Chia sẻ:
15/03/2022
Thông báo lịch thi trực tuyến đánh giá chuẩn kĩ năng sử dụng CNTT đợt 1 tháng 3 năm 2022.
Bài viết liên quan
Đào tạo & QLSV
Đề cương các học phần trong Chương trình đào tạo trình độ đại học ngành Thương mại điện tử
05/08/2022
Thông báo
NHỮNG ĐIỀU CẦN BIẾT VỀ KHOA HỆ THỐNG THÔNG TIN KINH TẾ VÀ THƯƠNG MẠI ĐIỆN TỬ
05/05/2024
Thông báo
CHỈ TIÊU TUYỂN SINH KHOA HỆ THỐNG THÔNG TIN KINH TẾ VÀ THƯƠNG MẠI ĐIỆN TỬ NĂM 2024
31/05/2024